专栏
标签
题库
对称性
# 实变函数
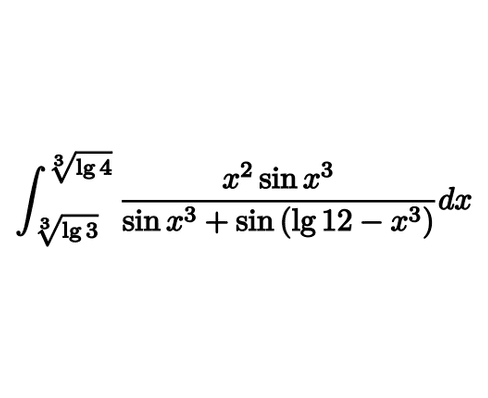
棘手的定积分
By
Campanulata
1k
6
1
尝试解出这个定积分吧~
# 积分
# 对称性
# 指对运算
# (反)三角函数
# 微积分
# 几何
半圆折纸
By
Campanulata
1k
17
1
把半圆上半部分翻折与直径相切, 求折痕长度?
# 折纸
# 平面几何
# 对称性
# 实变函数
食堂的WIFI密码
By
Campanulata
1k
27
2
你可以连上食堂的WIFI吗?
# 积分
# 对称性
# 函数的性质
# 微积分
# 序列和级数
一堆球的数量
By
Campanulata
1k
16
5
根据等差数列求和的方法, 你能想到求解这堆小球个数的方法吗?
# 数列求和
# 对称性
# 数列
# Puzzle谜题
巧算凹四边形面积
By
Campanulata
1k
15
2
凹四边形的形状很不规则, 如何求面积?
# 平面几何
# 面积
# 对称性