专栏
标签
题库
谬误
# 实变函数
学了导数, 证明了2=1?
By
慕容玖
2k
59
3
利用求导, 竟然证明了2=1?问题在哪里?
# 导数
# 谬误
# 微积分
# Puzzle谜题
错在哪一步
By
慕容玖
1k
9
1
明明有解, 却解出来无解, 隐藏的问题是什么呢?
# (反)三角函数
# 谬误
# Puzzle谜题
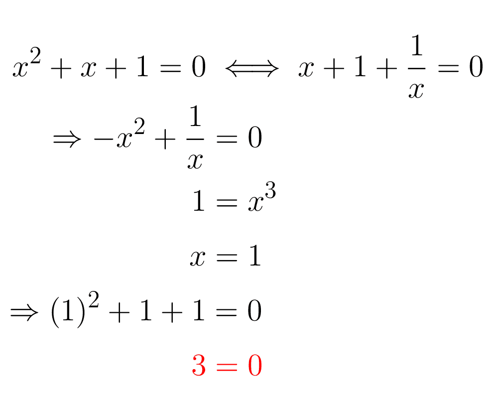
3=0的证明
By
慕容玖
1k
42
4
证明过程错在哪里了?
# 谬误
# 方程
# 数理逻辑与基础
证明人人都一样高
By
慕容玖
1k
11
3
学了数学归纳法,证明了这个世界上的每个人身高都相同!
# 谬误
# 数学归纳法
# 实变函数
4=2的证明
By
慕容玖
2k
17
4
, 你能解开这个谜题吗?
# 谬误
# 无穷
# 幂运算
# 方程